MathType绿色版是一款强大的数学公式编辑器,专门为理科生准备,MathType数学公式编辑器用于编辑数学试卷、书籍、报刊、论文等文档,可以帮助用户快速的在各种文档中插入符号和公式,多复杂的公式都可以轻松编辑完成,操纵较为简单,功能实用,因此深受用户们的喜爱。
开心小编在此提供正版购买优惠码:WMHRDMT10,有效期至2025-12-31。
MathType绿色版中的全部功能都已解锁,比如支持公式编号和转换为LaTeX语言,可以在office中插入矢量公式等,有需要的欢迎来本站下载。

兼容性强,直观易用
MathType能够与电脑中绝大多数环境中的文字处理软件相互兼容,直接键入,免去了兼容性烦恼。
公式格式,智能更改
MathType可以为您自动更改各种数学公式的字体和格式,即便是再复杂的数学公式,更改多种字体,也不在话下。
支持平台众多,多样化输出
MathType支持 TeX、LaTeX和MathML,还能将公式转化为支持web的各种图像,同样可以进行WMF 和 EPS 输出。
专业符号,数不胜数
MathType拥有专用符号字体,覆盖领域十分众多,包含了数学、物理、化学、地理等领域,累计达数百种。

1、MathType适用人群
MathType使用人群主要集中在学生、教师以及理科专业工作者,可应用于教育教学、科研机构、工程学、论文写作、期刊排版、编辑理科试卷等。
2、兼容各版本Office
MathType与Office有很好的兼容性,支持各版本的Office软件,如Microsoft Office 2016、Softmaker Office、WPS Office等。
3、多平台支持
MathType可适用于800+软件应用程序和网站,支持在任何文字处理软件、演示程序、页面程序、HTML编辑工具及其它类型的软件,用来建立公式。
4、支持手写
MathType"编辑"菜单中的“打开输入数学面板”支持手写输入公式,智能识别手写内容,轻触鼠标编写即可完成。
5、所见即所得
添加公式时,点击MathType界面中的模板,模板的样式就直接显示在MathType编辑框内,对此模板进行适当的修改就完成公式的编辑任务。
6、自动化处理
MathType中的Translator支持一键转换为Latex、Amslatex等代码,并提供常用数学公式和物理公式模板,只需单击一次,这个公式便跃然纸上。
1.首先下载MathType应用程序,然后双击运行exe程序文件。
2.在打开的对话框内输入名字、姓氏、组织、产品密钥、电子邮件地址等信息,然后点击“下一步”。

注:只有MathType的正版用户才有产品密钥,评估试用版只可免费享受30天,3试用期过后,MathType将运行精简模式。
3.输入完信息后,点击“浏览”按钮,在弹出的对话框选择安装路径,然后点击“确定”。

4.接着进入安装程序,只要耐心等待MathType应用程序的自动安装,新版的MathType9.6简体中文版安装过程比较快,只需两三秒即可完成。软件安装完成后,需要用注册码激活该软件.

5.MathType软件安装完成后,点击界面上的“退出安装程序”按钮,即可退出安装,完成在电脑上安装的过程。

安装小结:首先在本站下载好MathType的软件安装包,解压后打开exe文件,进入安装向导。根据提示按步骤进行安装,安装时可选择默认安装位置安装,也可以自定义安装位置。勾选好相应的快捷方式后,进入安装程序,稍作等待后即可安装完成,畅享这款软件。
在我们的日常工作中,经常会使用和编辑到数学公式,mathtype作为一个专业的数学公式编辑器,有着强大的功能,能够轻松地在文档中输入复杂的数学、物理公式和符号!是理科生必备工具!
那么我们该怎么使用这个软件编辑数学公式呢。接下来小编就带大家了解如何使用mathtype7来编辑数学公式。
首先打开公式编辑器,进行公式编辑。首先我们需要熟悉一下编辑模板上有哪些公式,这些公式的位置在哪里。熟悉了之后再进行公式编辑的时候会更流畅 自如。

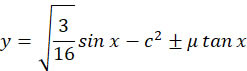
然后开始公式编辑,在这里我以为例。接下来就是向大家讲解如何使用mathtype7来编辑这个公式。

1、先打出“y=”
2、接下来需要找到根号√的位置。选择√工具,然后我们需要在√的里面输入3/16,先找到“-”工具后在相应的位置输入相应的数字。公式模板具体位置如图所示:

3、然后sinx只需要直接输入就可以了,不需要模板。下一步我们要找到的模板是幂函数,点击相应的模板,输入数字2就可。里面的模板里都有一个黑点,黑点的位置就是等会儿需要输入数字的位置。所以这里面需要看清楚黑点的位置。不要选错了。

4、然后需要输入±号,这个公式的模板位置如图所示:

5、下一步是找到希腊字母μ,这个字母的位置如图所示,在这个模板里面基本上都是希腊字母。

6、最后只需要直接输入tanx就行了。让我们看一下最后公式编辑的效果。

这个公式的编辑过程讲述完了。可以看到,除了我讲的这些公式模板,还有很多其它的公式模板,只是我们这次没有使用上。但是使用方法都是一样的。大家可以用鼠标挨个点击看看都有哪些公式模板,记住它们的位置下次使用时候就能得心应手。
总的来说,MathType确实是一款优秀的公式编辑器,操作十分简单,模板量丰富。只要大家熟悉模板位置就能很快地把公式编辑出来。
点击下载行业软件 >>本地高速下载
点击下载行业软件 >>本地高速下载