现实中,我们知道时间是由小时、分、秒所组成。
但是在Excel软件中,处理时间的方式并不像现实中那样,excel计算时间是有特殊格式的数据。Excel 在内部把每 24 小时的时间周期作为一个从 0 至 1的小数存储。
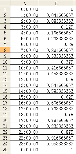
我们打开一个excel文档,在A1单元格输入“0:00:00”,然后拖动右下角填充柄,实现其自动填充,直到A25单元格为止。然后把A列中的时间数据复制到B列,选中B列数据,通过“单元格格式”对话框,将B列的格式设置为“常规”,即可看到如下图所示的效果。

从上图我们可以清楚的看出,每 24 小时的周期都从午夜零点(0:00:00)开始,存储为0。正午(12:00:00)则存储为 0.5,因为从午夜零点至正午恰好是一个整天的一半。到下一个午夜零点时(0:00:00),Excel把它存储为1。从上一个午夜零点开始至下一个午夜零点开始,正好经历了24小时,这就是我们所说的,Excel处理时间的一个24小时周期。
将时间作为小数存储使得 Excel 可以对时间进行运算。例如,要计算两个时间之间的间隔长度,执行结束时间对应的小数减去开始时间对应的小数的操作即可。
时间计算的应用领域也比较广,比如计算考试时间,员工的考勤簿,公交行业排公交时刻表等等。
……