利用word计算表格可以实现数据的快速分析,提高文档数据质量。那么word怎么计算表格内的数据,word怎么输入自定义公式呢?下面将给大家介绍解决这两个问题既快速又高效准确的方法。
一、word怎么计算表格内的数据
word是日常工作中使用频率最高的办公软件,只有在一些特定的情况下才会使用表格计算的功能。使用word计算表格数据可以避免使用计算器或手算时出现错误。下面将进行步骤说明:
1、创建word文档后,已将相关数据录入表格,点击需要计算数值的单元格,并将鼠标的光标对应到相应区域,此时会出现表格工具的窗口。

图片1:调用出表格工具
2、调用出表格工具后,切换到布局栏,在最右侧选择“公式”。

图片2:选择公式
3、选择【公式】后弹出公式窗口,需要注意的是word在默认情况下对表格内的数据是求和公式,即【=SUM(ABOVE)】。如果不需要求和,可以在【粘贴函数】那里选择对应的公式就可以了。

图片3:编辑公式
4、由于示例的计算表格中需要的也是求和公式,可以不用更改,直接确认后即可得到销售的总量。

图片4:求和结果
同理,计算销售金额也是同样的操作。
二、word怎么输入自定义公式
在word中,除了求和这样最基础的公式,可能还会用到勾股定理、和的展开式、二次公式等。那么在word中该如何输入自定义公式呢?操作很简单,有以下步骤:
1、打开word,在“插入”选项卡下找到“公式”点击下拉三角,可以选择如二次公式、傅立叶级数等9种公式,如果这9种公式不能满足需要,可以选择“插入新公式”。

图片5:插入公式
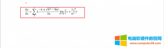
2、选择“插入新公式”后,会在word顶部出现基础数学相关的计算符号以及分式、上下标、根式等11种计算结构,根据需要选择对应公式的结构即可。

图片6:自定义公式
三、怎么给word的公式编号
在写论文时,需要对插入的公式进行编号,常规的操作是直接在公式所在行的末尾插入编号,如下图8所示:

图片7:原公式大小
此时在行末直接添加会使公式缩小,不能达到论文的格式要求。

图片8:插入后大小
因此,这里提供一个简单的解决方案,因为Word公式内部有类似的转义机制,此时只需要在将符号放在引号内部,就会将其作为常规文本处理,也就是在公式内部插入【#(“1-1”)】,点击回车就能实现正常的编号了。

图片9:输入编号公式
……