Windows 8是美国微软开发的新一代操作系统,Windows 8共有4个发行版本,分别面向不同用户和设备。于2012年10月26日发布。微软在Windows 8操作系统上对界面做了相当大的调整。取消了经典主题以及Windows 7和Vista的Aero效果,加入了ModernUI,和Windows传统界面并存。同时Windows徽标大幅简化,以反映新的Modern UI风格。前身旗形标志转化成梯形。
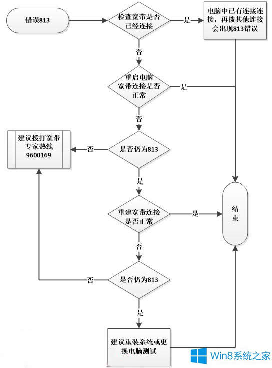
Win8系统如果出现了813的宽带连接错误,那是因为已经建立了一个宽带连接,然后又去打开了另外一个而连接,这两个连接起了冲突。那么怎么解决Win8宽带连接813的错误呢?

解决方法:
1)重新启动电脑(一般能解决)
2) 重建宽带连接
3) 重装操作系统
错误813的流程图:

上面就是解决Win8宽带连接813的错误的方法了,俗话说不作死就不会死,一个宽带连接就刚刚好,如果想连两个宽带反而会出现故障。
Windows 8是对云计算、智能移动设备、自然人机交互等新技术新概念的全面融合,也是“三屏一云”战略的一个重要环节。Windows 8提供了一个跨越电脑、笔记本电脑、平板电脑和智能手机的统一平台。
……