最近在网络上大火的用Excel表格绘制动态的心形函数让许多人着迷,其实这是由一名名为笛卡尔的数学家发明的心跳函数,但是自己手动绘制太麻烦了,直接下载Excel动态心形函数成品使用吧。

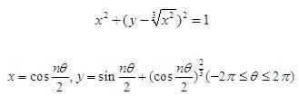
参数方程

首先, 先调出“滚动条”窗体控件:点击Excel的最左上角图标;选择右下角的“Excel选项”;选择“常用”,在“在功能区显示‘开发工具’选项卡”复选框打钩,按确定;单击“开发工具”选项卡,在“控件”组中单击“插入”,再单击“窗体控件”下的“滚动条”即可。

然后, 设置数据。思路:把θ的所在区间平均分为200份,然后计算(nθ)/2,通过“滚动条”,控制“n”的变化,再通过参数方程分别计算x、y的值,最后通过“散点图”作出相应图形。
动图演示

绘制方法
1、控制“n”值变化:
选择“滚动条”-> 点击右键,选择“设置控件格式”->点击“控制”,“单元格链接”,选择“K1”单元格,点击“确定”即可。当我们点击“滚动条”的箭头是,就看到“K1”单元格的数字发生变化了。
2、把θ的所在区间平均分为200份:
在“A1”单元格输入“步长”,在“A2”单元格输入公式“=ROW(A1)-1”,选中“A2”单元格,当指针变成黑色十字时,往下拖至“A202”;在“B1”单元格输入“θ”,“B2”单元格输入“=-2*PI()+A2*0.02*PI()”,选中“B2”单元格,当指针变成黑色十字时,往下拖至“B202”。
3、计算 (nθ)/2、x和y:
在“C1“单元格输入”(nθ)/2“,”C2“单元格输入”=$K$1*B2/2“,选中“C2”单元格,当指针变成黑色十字时,往下拖至“C202”;
在”D1“单元格输入”x=cos (nθ/2)“,”D2“单元格输入”=COS(C2)“,选中“D2”单元格,当指针变成黑色十字时,往下拖至“D202”;
在”F1“单元格输入”y=sin(nθ/2) +(cos(nθ/2))^(2/3)“,”F2“单元格输入”=SIN(C2)+((COS(C2))^2)^(1/3)“,选中“F2”单元格,当指针变成黑色十字时,往下拖至“F202”。
此时,我们再点击”滚动条“的箭头,会发现”C、D、F“列的数据会随着”n“值的变化而发生变化。
4、绘制散点图:
选中空白单元格,单击”插入“选项卡->”图表”组,点击”散点图“,选择”仅带数据标记的散点图“,得到空白的散点图。
选择空白的散点图,菜单栏出现”图表工具“选项,点击”设计“->点击”选择数据“->点击”添加”->”X轴系列值“选中区域”=心形线$D$2:$D$202“,”Y轴系列值“选中区域”=心形线!$F$2:$F$202“(工作表名为“心形线”)->连续点击两次”确定“,得到散点图草图。
选中图表中的心形轨迹,点击右键,点击”设置数据系列格式“->点击”数据标记选项“,选中”无“->点击”线条颜色“,选择”实线“以及个人喜好颜色,点击”确定“。
选中横坐标轴,点击右键,点击”设置坐标轴格式“->点击”坐标轴选项“设置*小值、*大值和主要刻度单位-> 点击”线型“,选择”后端线型“,点击”确定“。同理设置纵坐标轴和网格线。选中图表,单击”布局“选项卡,分别设置”图表标题“、 ”坐标轴标题“。最终得到如图所示动态图。
使用方法

点击选中<启用宏>
点击下载应用软件 >>本地高速下载
点击下载应用软件 >>本地高速下载